BOUTIQUEResources
- Research products
- Microbiology & cell culture
- Purification
- Quality control products
- Excipients
- Diagnostic raw materials
- Instruments, equipment and consumables
- Technical service
- Downloads
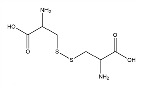
L-Cystine, also known as Diaminoalanine, is a sulfur-containing amino acid that exists in small amounts in proteins and is mostly found in keratin of hair, nails, etc. The structural formula of cystine is as follows:
L-Cystine dihydrochloride is the stable salt form of L-cystine, and its structural formula is as follows:
L-cystine itself has a very low solubility in water, but its dihydrochloride form greatly enhances water solubility, making it more convenient to use in liquid culture media and drug preparations. Therefore, the function of "L-cystine" discussed is usually realized in practical operation in the form of "L-cystine dihydrochloride". Their applications in biopharmaceuticals mainly fall into two major fields: as key additives in cell culture media and as excipients or stabilizers in drug formulations.
1. As key additive in cell culture media
This is the most important and core application of L-cysteine in biopharmaceuticals.
① Provide essential amino acids to support cell growth
Cells take L-cystine into the cell through transport proteins on their cell membranes, and then rapidly reduce L-cystine to two molecules of L-cysteine in a reducing environment.
② It regulates the REDOX balance and is a precursor for glutathione synthesis
L-cysteine is the rate-limiting raw material for the synthesis of glutathione (GSH), the most important antioxidant in cells. GSH can effectively eliminate ROS, protect cells from damage, reduce apoptosis, thereby extending the culture time and increasing the yield of target proteins.
③ Promote the formation of correct disulfide bonds
Therapeutic proteins, especially antibodies, rely on correct intramolecular and intermolecular disulfide bond connections for their complex structures. L-cysteine/cysteine, as a direct participant in disulfide bonds, can ensure that disulfide bonds are formed rapidly and accurately during protein synthesis and folding.
2. As an active ingredient in drug preparations
In addition to being used as an additive in cell culture, L-cystine itself can also be used as a drug or a drug excipient.
① As a therapeutic drug
Hair and skin health: Cystine is an important component of keratin, which is the main structural protein of hair, skin and nails. Therefore, it is sometimes used as an ingredient in compound preparations to treat hair loss or improve skin conditions.
Antioxidant therapy: As a precursor of glutathione, it can theoretically be used to enhance the body's antioxidant capacity, but it is usually used in combination with other drugs (such as B vitamins).
② As an excipient or stabilizer for drug preparations
Antioxidants: By taking advantage of its reducing property, L-cysteine can protect drug components from oxidation and degradation, thereby extending the efficacy period of the drug.
Stabilizer: In some specific biopharmaceutical formulations, L-cysteine may help maintain the stability of protein drugs.
3. Advantages of L-Cystine dihydrochloride
Stability: Compared with L-cystine, L-cystine dihydrochloride is more stable in both solid state and solution, less prone to moisture absorption and oxidation, and is convenient for storage and weighing.
High solubility: It is easy to prepare into a high-concentration stock solution and convenient to add to the culture medium.
Summary
L-cystine and L-cystine dihydrochloride are important multifunctional molecules in biopharmaceuticals. Its core value lies in serving as a key additive in cell culture media, by supporting cell growth, maintaining REDOX homeostasis and promoting correct protein folding. At the same time, it also functions as an active ingredient in drugs or an excipient in preparations in a few cases. Meanwhile, the stability and water solubility of L-cysteine dihydrochloride have drawn attention, making it a reliable and indispensable component in biopharmaceutical processes.
As a long-term and fixed supplier for many well-known global medium manufacturers and pharmaceutical enterprises, PanReac AppliChem, with its outstanding product quality and strict quality control, provides reliable low-endotoxin pharmaceutical-grade L-cystine and L-cystine dihydrochloride for researchers and pharmaceutical enterprises.
|
CODE |
NAME |
CAS |
|
637765 |
L-Cystine Dihydrochloride low endotoxin, pharma grade |
30925-07-6 |
|
Z43645 |
L-Cystine (Ph. Eur.) low endotoxin pure, pharma grade |
56-89-3 |
AppliChem Low endotoxin L-cysteine dihydrochloric acid can provide free samples. Welcome to click here to fill in the information and apply for testing. The quantity is limited and it's first come, first served!
XMJ is the general agent of PanReac AppliChem in China, providing users with comprehensive technical support and after-sales service. If you are interested in the product, please call Ximeijie customer service hotline 400-050-4006 or visit the website m.lxhmstone.com for more information.
京公網(wǎng)安備 11010802028692號(hào)